« ΠΑΡΑΡΤΗΜΑ Β ΠΑΡΑΡΤΗΜΑ Δ »

 

ΠΑΡΑΡΤΗΜΑ Γ


ΔΙΑΦΡΑΓΜΑΤΙΚΗ ΛΕΙΤΟΥΡΓΙΑ ΜΟΝΩΡΟΦΟΥ ΧΩΡΙΚΟΥ ΠΛΑΙΣΙΟΥ– ΓΕΝΙΚΗ ΠΕΡΙΠΤΩΣΗ

Γ.1 Περιγραφή του θέματος


Εικόνα Γ.1-1: Απλό παράδειγμα ορόφου με 4 υποστυλώματα που καταλήγουν σε άκαμπτη πλάκα-διάφραγμα.
Εικόνα Γ.1-1: Απλό παράδειγμα ορόφου με 4 υποστυλώματα που καταλήγουν σε άκαμπτη πλάκα-διάφραγμα.

Γενικά, κατά την οριζόντια ώθηση H ενός ορόφου, λόγω της ύπαρξης της πλάκας που στο επίπεδο της είναι πρακτικά άκαμπτη, όλα τα σημεία, άρα και οι κεφαλές των κολονών [*]NoteNote Στη συνέχεια θα χρησιμοποιείται ο όρος ‘κολόνα’ που θα περιλαμβάνει τους όρους υποστύλωμα και τοιχίο. επί της πλάκας θα κινηθούν με τον ίδιο κανόνα.

Ο κανόνας αυτής της κίνησης είναι ότι το διάφραγμα θα έχει μία παράλληλη (μεταφορική) μετατόπιση κατά δxo, δyo και μία περιστροφή θz πέριξ ενός σημείουCT(xCT, yCT) που ονομάζεται πόλος περιστροφής, στο σύστημα xCTy που έχει αρχή των αξόνων το σημείο CT και γωνία κλίσης a ως προς το αρχικό σύστημα X0Y.

Για να είναι εύκολη η παρακολούθηση του κεφαλαίου αυτού είναι χρήσιμο να έχει μελετηθεί πρώτα η §5.4.


Εικόνα Γ.1-2
Εικόνα Γ.1-2

Χ0Υ αρχικό σύστημα συντεταγμένων
x’ 0 y’ βοηθητικό σύστημα συντεταγμένων
xCTy κύριο σύστημα συντεταγμένων


Εικόνα Γ.1-3: Παράλληλη μετατόπιση προς τις δύο διευθύνσεις και στροφή, του διαφράγματος, λόγω της δύναμης H
Εικόνα Γ.1-3: Παράλληλη μετατόπιση προς τις δύο διευθύνσεις και στροφή, του διαφράγματος, λόγω της δύναμης H

Γ.2 Αλλαγή συστήματος αξόνων

Είναι χρήσιμο να θυμηθούμε τους τύπους μεταφοράς ενός διανύσματος v(x,y) από ένα σύστημα x0y σε ένα ισοδύναμο διάνυσμα v(ζ,η) που αντιστοιχεί στο σύστημα συντεταγμένων ζ0η, που έχει γωνία κλίσης φ σε σχέση με το αρχικό σύστημα. Το διάνυσμα αυτό μπορεί να είναι μετατόπιση, ή δύναμη, ή να αντιστοιχεί σε σημείο.


Εικόνα Γ.2: Τυπολόγιο αλλαγής αξόνων λόγω στροφής
Εικόνα Γ.2: Τυπολόγιο αλλαγής αξόνων λόγω στροφής

ζ = x · cos φ +y · sin φ

η =-x · sin φ +y · cos φ

x= ζ · cos φ - η · sin φ

y= ζ · sin φ + η · cos φ

διάνυσμα επί του x :

ζ= x · cos φ & η=- x · sin φ

διάνυσμα επί του y :

ζ= y · sin φ & η= y · cos φ

Εφαρμογή στις δυσκαμψίες κολόνας υπό κλίση γωνίας φi ως προς το αρχικό σύστημα x0y:

Η μετατόπιση της κεφαλής κολόνας i κατά δxi προκαλεί μετατοπίσεις δζi, δηi στο κύριο σύστημα ζ, η της κολόνας i:

δζ i xi · cos φ i και δηi=-δxi·sinφi

Οι μετατοπίσεις δζi και δηi θα προκαλέσουν τις αντίστοιχες τέμνουσες δυνάμεις:

V ζ i = K ζ i · δ xi · cos φ iκαι Vηi=-Kηi· δxi·sinφi.

Vxxi = V ζ i · cos φ i - V η i · sin φ i =( K ζ i · δ xi · cos φ i ) · cos φ i -(- K η i · δ xi · sin φ i ) · sin φ i = K ζ i · δ xi · cos 2 φ i + K η i · δ xi · sin 2 φ i

Vxxi xi · ( K ζ i · cos 2 φ i + K η i · sin 2 φ i )

Vxyi = V ζ i · sin φ i + V η i · cos φ i =( K ζ i · δ xi · cos φ i ) · sin φ i +(- K η i · δ xi · sin φ i ) · cos φ i = K ζ i · δ xi · (1/2) sin i - K η i · δ xi · (1/2) · sin i

Vxyi xi · (1/2) · ( K ζ i - K η i ) · sin i

Και σε απλούστερη μορφή οι δύο αυτές εξισώσεις, συναρτήσει των ανηγμένων δεικτών δυσκαμψίας του υποστυλώματος i για την διεύθυνση x, Kxxi και Kxyi, γίνονται:

Vxxoi xi · Kxxiόπου Kxxi= Kζi·cos2φi+Kηi·sin2 φi (a)

Vxyoi xi · Kxyiόπου Kxyi=(1/2)·(Kζi-K ηi)·sini (b)

Οι ποσότητες Kxxi και Kxyi ονομάζονται ανηγμένες δυσκαμψίες του υποστυλώματος i κατά τη διεύθυνση x.

Με ανάλογο τρόπο προκύπτουν και οι εξισώσεις με τους ανηγμένους δείκτες δυσκαμψίας Kyxi και Kyyi του υποστυλώματος για τη διεύθυνση y :

Vyxoi yi · Kyxiόπου Kyxi=(1/2)·(Kζi-K ηi)·sini= Kxyi (c)

Vyyoi yi · Kyyiόπου Kyyi=Kζi·sin2φi+Kηi·cos2 φi (d)

Παρατηρήσεις:

  • Σε κάθε σύστημα συντεταγμένων, σε μία κολόνα i είναι πάντοτε Kxyi=Kyxi.
  • Οι δείκτες δυσκαμψίας Kxxi, Kxyi και Kyyi είναι ίδιοι σε όλα τα παράλληλα συστήματα προς το x0y, επομένως και στο x’0y’.
  • Σε τετράγωνες κολόνες δεν παίζει ρόλο η γωνία φ επειδή Kζ=Kη οπότε οι (a) και (d) δίνουν πάντοτε Kxx=K yy=Kζ=Kη και η (b) δίνει πάντοτε Kxy=0.

Παράδειγμα:

Δυσκαμψίες κολονών :

Η δυσκαμψία Kij κάθε κολόνας i προς τη διεύθυνση j είναι Κ ji =( kji · EI ji / h 3)·kji,vα (§4.1.5). Θεωρούμε τα υποστυλώματα αμφίπακτα kji =12 και δεν λαμβάνουμε υπόψη την επιρροή της διάτμησης [*]NoteNote Αν στο συνοδευτικό αρχείο <diaphragm_general.xls>, στο project 4Columns, ενεργοποιήσουμε την επιλογή να λαμβάνει υπόψη τα έργα από τέμνουσες δυνάμεις, οι συντελεστές μείωσης της δυσκαμψίας kva έχουν τιμή 0.966 στις C1,C2 και την ισχυρότερη τιμή στη κολόνα C3 κατά x: kva,x3=0.875. kji,vα=1.0 (§5.1.1), οπότε η δυσκαμψία του υποστυλώματος προκύπτει από τη σχέση Κji=12·EI ji/h3. Επίσης θεωρούμε τη δυστρεψία των κολονών Kzi=0.

Οι κολόνες του παραδείγματος έχουν τα μεγέθη E και h ίδια, οπότε η δυσκαμψία τους μπορεί να θεωρηθεί Κ ji = C · Iji όπου C =12 E / h 3

Λαμβάνουμε σαν μέτρο ελαστικότητας Ε=32.80 GPa που αντιστοιχεί σε σκυρόδεμα C 30/37 (§6.1) οπότε C =12 E / h 3 =12 · 32.80 · GPa /(3.03 m 3 )=14.58 · 109 N / m 5 .

Δυσκαμψίες κολονών ως προς τα τοπικά συστήματα ζ,η των κολονών :

C 1 , C 2 400/400 K ζ1 = K = K = K =14.58·109 N / m 5 · 0.400 · 0.4003/12 · m 4 =31.1 · 106 N / m ,

C 3 800/300 K =14.58 · 109 · 0.300 · 0.8003/12=186.6 · 106 N / m , K =14.58 · 109·0.800 · 0.3003/12=26.2 · 106 N / m

C 4 300/600 K =14.58 · 109 · 0.600 · 0.3003/12=19.7 · 106 N / m , K =14.58 · 109 · 0.300 · 0.6003/12=78.7 · 106 N / m

Η διαφραγματική λειτουργία μπορεί να εξετασθεί ως επαλληλία τριών καταστάσεων:

(α) παράλληλη μετατόπιση του διαφράγματος κατά X λόγω οριζόντιας συνιστώσας δύναμης HX, (β) παράλληλη μετατόπιση του διαφράγματος κατά Y λόγω οριζόντιας συνιστώσας HY και

(γ) στροφή του διαφράγματος λόγω της ροπής MCT που εξασκείται στον πόλο περιστροφής CT.

Οι οριζόντιες σεισμικές δυνάμεις εξασκούνται σε κάθε σημείο που υπάρχει μάζα, αλλά η συνισταμένη δύναμη εξασκείται στο κέντρο μάζας CM.

Σε περίπτωση που η κατεύθυνση της δύναμης H διέρχεται εκτός από το σημείο CM και από το σημείο CT , η ροπή είναι μηδενική και επομένως το διάφραγμα δεν έχει στροφή.

Γ.3 1η κατάσταση: Μετατόπιση του πόλου περιστροφής CT κατά τη διεύθυνση x


Εικόνα Γ.3
Εικόνα Γ.3

Εξασκώντας οριζόντια δύναμη Hx επί του CT κατά x, θα πρέπει να ισχύουν οι 3 παρακάτω εξισώσεις ισορροπίας:

  • Το άθροισμα των δυνάμεων κατά τη διεύθυνση x να είναι ίσο με Hx, δηλαδή
    Hx =Σ( Vxxoi ) ( i )
  • Το άθροισμα των δυνάμεων κατά τη διεύθυνση y να είναι ίσο με μηδέν, δηλαδή
    Σ(
    Vxyoi )=0.0 ( ii )
  • Το άθροισμα των ροπών των δυνάμεων Vxxoi και Vxyoi ως προς το σημείο CT να είναι ίσο μεμηδέν, δηλαδή Σ(Vxxoi·yi-Vxyoi ·xi)=0 (iii)

όπου Vxyoixo·Kxyi με Kxyi=1/2·(Kζi-Kηi)·sin2φ’i και φ’ ii-a

Η (i) δίνει Hx=Σ(δxo·Kxxi)=δ xo·Σ(Kxxi)


Επειδή ισχύει η ταυτότητα sin(w1-w2)=sinw1·cosw2-cosw1·sinw2, Kxyi=1/2·(Kζi-Kηi)·(sini·cos2a-cosi·sin2a) η εξίσωση (ii) γίνεται Σ(Kxyi)=0 Σ[(Kζi-Kηi)·sini·cos2a]=Σ[(Kζi-Kηi)cosi·sin2a] cos2a·Σ[(Kζi-Kηi)·sini]=sin2a·Σ[(Kζi -Kηi)·cosi]


Από αυτή τη σχέση υπολογίζεται η γωνία a [*]NoteNoteΑν όλες οι κολόνες είναι ορθογωνικές και παράλληλες προς το αρχικό σύστημα, όλες οι γωνίες φi είναι μηδενικές, επομένως προκύπτει ότι tan2a=0 → a=0 κατά συνέπεια το κύριο σύστημα είναι παράλληλο προς το αρχικό. του κυρίου συστήματος, του οποίου όμως δεν γνωρίζουμε ακόμη τις συντεταγμένες xCT, yCT του πόλου περιστροφής CT. Μπορούμε να εργασθούμε στο βοηθητικό σύστημα x’0y’ που είναι παράλληλο προς το xCTy και έχει το πλεονέκτημα ότι οι δυσκαμψίες του είναι ίδιες με αυτές του τελικού κύριου συστήματος xCTy. Μεταφέρουμε επομένως τις συντεταγμένεςX,Y στις x’,y’.

Παράδειγμα:

Υπολογισμός γωνίας a κυρίου συστήματος :

Συνεχίζοντας με τις τιμές των K ζ , K η που έχουν ήδη υπολογιστεί και δεδομένου ότι 2φ1=2φ2=0˚, 2φ3=60˚ και 2φ4=90˚, προκύπτει:

(3) tan2a=Σ[(Kζi-Kηi)·sin2φi]/Σ[(Kζi-Kηi)·cos2φi ]

tan2a=[(31.1-31.1) · 106 · sin0˚ +(31.1-31.1) · 106 · sin0˚+(186.6-26.2) · 106 · sin60˚+ (19.7-78.7) · 106 · sin90˚]/

/[( 31.1-31.1) · 106 · cos0˚+(31.1-31.1) · 106 · cos0˚ + (186.6-26.2) · 106 · cos60˚+ (19.7-78.7) · 106·cos90˚]= =[0+0+138.9-59.0]/[0+0+80.2+0.0]=79.9/80.2=0.996 2a=44.88˚ a=22.44˚

Άρα το κύριο σύστημα έχει κλίση γωνίας a =22.44˚

Αλλαγή συστήματος συντεταγμένων : Από το αρχικό σύστημα X 0 Y μεταφερόμαστε στο βοηθητικό x ’0 y ’ που είναι παράλληλο προς το κύριο σύστημα συντεταγμένων xCTy και επομένως έχει γωνία κλίσης a =22.4˚:

Είναι sina =0.3817, cosa =0.9243

C 1 : από C 1 (0,0) και φ1=0˚ γίνεται C 1 (0,0) φ’1=-22.44˚

C 2 : από C 2 (6.0,0) και φ2=0˚ γίνεται C 2 (6.0 ·0.924=5.544, -6.0·0.3817=-2.290), φ’2=-22.44˚

C 3 : από C 3 (0.0,5.0) και φ3=30˚ γίνεται C 3(5.0·0.3817=1.9085, 5.0·0.924=4.62), φ’3=30˚-22.44˚ =7.56˚ C3 (5.544, -2.290), φ’3=7.56˚

C 4 : από C 4 (6.0, 5.0) και φ4=45˚ γίνεται C 4 (6.0·0.924+5.0·0.3817=7,4542, -6.0·0.3817+5.0·0.9243=2.331), φ’4=45˚-22.44˚ =22.56˚ C 4(7.454, -2.331), φ’4=22.56˚

CM : από CM (3.0, 2.5) γίνεται CM (3.0 ·0.924+2.5·0.3817=3.727, -3.0·0.3817+2.5·0.9243=1.166)

Εργαζόμαστε στο βοηθητικό σύστημα συντεταγμένων x’0 y’

Είναι xi=xi-xCT και yi=yi-yCT οπότε από την εξίσωση (iii) προκύπτει:

δ xo · Σ(( y i - yo ) · Kxxi -( x i - x CT ) · Kxyi )=0 Σ( y i · Kxxi )- yo · Σ( Kxxi )-Σ( x i · Kxyi )+ x CT · Σ( Kxyi )=0

Σ(( x i - x CT ) · Kyyi -( y i - y CT ) · Kxyi )=0 -Σ( y i · Kxyi )+ y CT · Σ( Kxyi )+Σ( x i · Kyyi )- x CT · Σ( Kyyi )=0.

Επειδή Σ(Kxyi)=0, Σ(yi·Kxxi)- yCT·Σ(Kxxi)-Σ(x i·Kxyi)=0

-Σ( y i · Kxyi )+Σ( x i · Kyyi )- x CT · Σ( Kyyi )=0→


Γ.4 2η κατάσταση: Μετατόπιση του πόλου περιστροφής CT κατά τη διεύθυνση y


Εικόνα Γ.4
Εικόνα Γ.4

Με ανάλογο τρόπο και λαμβάνοντας υπόψη ότι Kyxi=Kxyi, προκύπτουν οι αντίστοιχοι τύποι:


Παράδειγμα:

Δυσκαμψίες κολονών ως προς το κύριο σύστημα xCTy [*]NoteNote Οι δυσκαμψίες αυτές είναι ίδιες και στο βοηθητικό σύστημα x’0y’ επειδή το κύριο σύστημα xCTy και το βοηθητικό x’0y’ είναι παράλληλα μεταξύ τους. :

C 1 , C 2 επειδή είναι τετράγωνες Kxx1=Kyy1=Kxx2=Kyy2=31.1·106 N/m, Kxy1=Kxy2=0.0

C 3 : φ’3=7.56˚ ( a ) Kxx3= Kζ3·cos2 φ3+Kη3·sin2φ3 =[186.6· 0.99132+26.2·0.13162]·106=183.82·106 N/m

( b ) Kxy3=(1/2)·(Kζ3-Kη3)·sin3=0.5·(186.6-26.2)· 106·0.261=20.93·106 N /m

( d ) Kyy3= Kζ3·sin2φi+Kη3·cos2φ3 =[186.6·0.13162+26.2·0.99132] ·106 N/m =28.98·106 N/m

C 4: φ’4=22.56˚ ( a ) Kxx4=Kζ4·cos2φ4+Kη4·sin2φ4=[19.7·0.92352+78.7·0,38372] ·106=28.39·106 N/m

( b ) Kxy4=(1/2)·(Kζ4-Kη4)·sin 4=0.5·(19.7-78.7)·106·0.709=-20.92·106 N/m

( d ) Kyy4= Kζ4·sin2φi+Kη4·cos2φ3 =[19.7·0,38372+78.7·0.92352] ·106=70.02·106 N/m

Συνολικές δυσκαμψίες του διαφράγματος και στατικές ροπές των δυσκαμψιών ως προς το CT :

Kxx =Σ( Kxxi )=( 31.1+31.1+183.82+28.39) ·106=274.41·106 N / m

Kyy =Σ( Kyyi )= (31.1+31.1+28.98+70.02) ·106=161.2·106 N / m

Σ( x i · Kyyi )=[0.0·31.1+5.544·31.1+1.9085·28.98+7.4542·70.02]·106 =749.55·10 6 N

Σ( x i · Kxyi )=[0.0·0+5.544·0+1.9085·20.93+7.4542·(-20.93)]·106=-116.07·10 6 N

Σ( y i · Kxxi )=[0.0·31.1 -2.29·31.1 +4.62·183.82+2.331·28.39]·106=844.21·10 6 N

Σ( y i · Kxyi )= [0.0·0.0 -2.29·0.0 +4.62·20.93+2.331· (-20.92)]·106=47.93·10 6 N

x CK =[Σ( x i · Kyyi )-Σ( y i · Kxyi )]/Σ( Kyyi )=( 749.55-47.93)/161.2=4.353 m

y CK =[Σ( y i · Kxxi )-Σ( x i · Kxyi )]/Σ( Kxxi )=( 844.21+116.07)/274.41=3.500 m

Γ.5 3η κατάσταση: Στροφή θz του διαφράγματος γύρω από
τον πόλο περιστροφής CT


Εικόνα Γ.5-1: Μετατοπίσεις λόγω στροφής από ροπή M στο Κέντρο Ελαστικής Στροφής CT
Εικόνα Γ.5-1: Μετατοπίσεις λόγω στροφής από ροπή M στο Κέντρο Ελαστικής Στροφής CT


Εικόνα Γ.5-2: Οι μετατοπίσεις τυχόντος σημείου i του διαφράγματος λόγω στροφής κατά θz
Εικόνα Γ.5-2: Οι μετατοπίσεις τυχόντος σημείου i του διαφράγματος λόγω στροφής κατά θz

δ i = ri ·θ z

δ xi =-δ i · sin ω i

sin ω i = yi / ri

δ xi =- ri ·θ z · yi / ri =- yi ·θ z

δyi=xi·θz

Εργαζόμαστε στο κύριο σύστημα συντεταγμένων xCTy

Εξετάζουμε την παραμόρφωση που δημιουργείται από εξωτερική ροπή M που εξασκείται στο κέντρο ελαστικής στροφής CT . Για να εξετάσουμε αυτή τη κίνηση πρέπει να μεταφερθούμε από το βοηθητικό x’0y’ στο κύριο σύστημα xCTy και για να γίνει αυτόχρειάζεται απλώς μία παράλληλη μεταφορά. Μεταφέροντας και το κέντρο μάζας στο κύριο σύστημα, έχουμε τις στατικές εκκεντρότητες eox, eoy του CM ως προς τοCT από τις σχέσεις:


Η παραμόρφωση του διαφράγματος είναι μία στροφή θz γύρω από το CT. Η στροφή θ z του διαφράγματος προκαλεί μετατόπιση δi στη κεφαλή κάθε υποστυλώματος i που έχει συντεταγμένες xi,yi ως προς το σύστημα συντεταγμένων με αρχή το CT. Αν η απόστασητου σημείου i από το CT είναι ri, οι δύο συνιστώσες της (απειροστής) παραμόρφωσης δi είναι: δxi=-θz·yi και δ yi= θz·xi

Παράδειγμα:

Μεταφορά συντεταγμένων στο κύριο σύστημα και υπολογισμός των στατικών εκκεντροτήτων :

Από τις σχέσεις (6) προκύπτουν

C 1 (0.0-4.353=-4.35, 0.0-3.500=-3.50) φ’1=-22.44˚ Kxx =31.1 ·106, Kyy=31.1·106, Kxy=0.0

C 2 (5.544-4.353=1.19, -2.290-3.500=-5.79), φ’2=-22.44˚ Kxx =31.1 ·106, Kyy=31.1·106, Kxy=0.0

C 3 (1.9085-4.353=-2.44, 4.62-3.500=1.12), φ’3=7.56˚ Kxx =183.82, Kyy =28.98, Kxy =20.93

C 4 (7,4542-4.353=3.10, 2.3312-3.500=-1.17), φ’4=22.56˚ Kxx =28.39, Kyy =70.02, Kxy =-20.92

CM (3.727-4.353=-0.626, 1.166-3.500=-2.334) και προφανώς CT (0,0)

eox =-0.626 m , eoy =-2.334 m

Οι μετατοπίσεις δxi, δyi δημιουργούν σε κάθε υποστύλωμα τέμνουσες Vxi και Vyi όπου

Vxi = Kxxi · δ xi = Kxxi · (-θ z · yi ) Vxi= -θz·Kxxi·yi και Vyi=Kyyi·δyi=kyyi·θz·xi Vyi z·kyyi·xi

Η συνισταμένη των ροπών όλων των τεμνουσών δυνάμεων Vxi, Vyi ως προς το κέντρο ελαστικής στροφής πρέπει να είναι ίση με την εξωτερική ροπή MCT δηλαδή:

MCT =Σ[- Vxi · yi + Vyi · xi + Kzi ] MCT = θ z · Σ[ Kxxi · yi 2 + Kyyi · xi 2 + Kzi ]


Παράδειγμα:

Υπολογισμός δυστρεψίας διαφράγματος :

Κθ=Σ( Kxxi · yi 2 + Kyyi · xi 2 + Kzi )=Σ[31.1·3.52+31.1·4.352+31.1·5.792+31.1·1.192+183.82·1.122+ 28.98·2.442+28.39·1.172+70.02·3.102]·106 N·m= =[381.0+588.5+1042.6+44.0+230.6+172.5+38.9+672.9] ·106 N ·m Κθ=3174·106 N·m

Η ποσότητα Κθ=Σ(Kxxi·yi2 + Kyyi·xi2+Kzi) ονομάζεται δυστρεψία του διαφράγματος και έχει μονάδες ροπής π.χ.N·m, κατ’ αναλογία με τις ποσότητες Kx=Σ(Kxi), Ky=Σ(Kyi) που ονομάζονται μεταφορικές δυσκαμψίες του διαφράγματος κατά τη διεύθυνση x και y αντίστοιχα και έχουν μονάδες N/m. Η (ίδια) δυστρεψία της κολόνας είναι συνήθως μικρή και μπορεί να αγνοείται (§5.4.3.4).

Μεταφορική δυσκαμψία Κ jk διαφράγματος είναι η δύναμη κατά j που χρειάζεται για να προκαλέσει μετατόπιση του διαφράγματος κατά μία μονάδα προς τη διεύθυνση k.

Δυστρεψία διαφράγματος Κθ είναι η ροπή που χρειάζεται για να προκαλέσει στροφή του διαφράγματος κατά μία μονάδα.

Γ.6 Έλλειψη και ακτίνες δυστρεψίας

Ζητείται η δημιουργία ενός ιδεατού απλού ισοδύναμου στατικού συστήματος που θα έχει την ίδια σεισμική συμπεριφορά με το πραγματικό στατικό σύστημα.

Απάντηση: Τοποθετούμε 4 ιδεατές κολόνες E1, E2 και E3, E4 συμμετρικά ως προς το κέντρο CT και ως προς τους άξονες x και y, δηλαδή και οι 4 ιδεατές κολόνες έχουν την ίδια απόλυτη τιμή της συντεταγμένης x και της συντεταγμένης y. Οι ιδεατέςκολόνες E1, E2, E3, E4 θεωρείται ότι η κάθε μία έχει δυσκαμψία Kx=1/4·Σ(Kxi) και Ky=1/4·Σ( Kyi).


Εικόνα Γ.6
Εικόνα Γ.6

Το σύστημα αυτό ικανοποιεί τις 2 συνθήκες του πραγματικού συστήματος που αφορούν τις μετακινήσεις ολίσθησης του διαφράγματος του συνόλου των κολονών επειδή έχει :

Δυσκαμψία κατά x: 4·1/4·Σ(Kxi)=Σ(Kxi) και δυσκαμψία κατά y: 4·(1/4) ·Σ(Kyi)=Σ(Kyi).

Για να ικανοποιείται η 3η συνθήκη, πρέπει το ιδεατό σύστημα να έχει δυστρεψία Kθ,eq=[Kx1·y2+Kx2·y2+Ky1·x2+Ky2·x2]=Σ(Kxxi)·y2+Σ(Kyyi) ·x2

ίση με τη δυστρεψία του πραγματικού συστήματος

K θ, re = K θ =Σ( Kxxi · yi 2 + Kyyi · xi 2 -2 Kxyi · xi · yi + Kzi ) ,

δηλαδή πρέπει Kθ,eq= Kθ,re Σ(Kxxi)·y2+Σ(Kyyi )·x2=Kθ


Η καμπύλη (8) είναι έλλειψη με κέντρο το CT, διεύθυνση αυτή των κυρίων αξόνων και ημιάξονες rx, ry.

Παράδειγμα Γ.6:

Υπολογισμός έλλειψης δυστρεψίας

rx =√( K θ / Kyy )=√(3134·106 N · m / 161.2 ·106 N / m )=4.41 m

ry =√( K θ / Kxx )=√(3134·106 N · m / 274.41 ·106 N / m )=3.38 m

Συμπέρασμα:

Η στρεπτική συμπεριφορά ενός ορόφου μπορεί να περιγραφεί από την ελλειψοειδή γραμμή δυστρεψίας ( CT, rx, ry) που παριστάνει την ισοδύναμη κατανομή της δυσκαμψίας του διαφράγματος.

Οι ακτίνες rx, ry, της έλλειψης ονομάζονται ακτίνες δυστρεψίας.

Υπάρχει απειρία λύσεων ιδεατών διπλών ζευγών συστημάτων, εκ των οποίων το πιο χαρακτηριστικό είναι αυτό με τις 4 ιδεατές κολόνες στα 4 άκρα της έλλειψης.

Γενικότερα δε υπάρχει και απειρία λύσεων με n-απλά αντιδιαμετρικά συστήματα, όπου η κάθε ιδεατή κολόνα έχει δυσκαμψίες ίσες με το 1/n των συνολικών δυσκαμψιών του συστήματος.

Παρατηρήσεις:

  • Όσο περισσότερο, η έλλειψη περικλείει το δακτύλιο αδράνειας, τόσο καλύτερα
  • η θέση των ‘τοιχίων’ δεν παίζει ρόλο, αρκεί να βρίσκονται όσο το δυνατόν κοντά στη περίμετρο, όμως παίζει ρόλο να έχουμε ισχυρές ακαμψίες και προς τις δύο διευθύνσεις.
  • Σημαντική απόκλιση CM από CT μπορεί να αντισταθμιστεί από ισχυρά τοιχία στη περίμετρο του κτιρίου

Γ.7 Επαλληλία των τριών παραμορφώσεων

Έως εδώ όλοι οι υπολογισμοί εξαρτιόνταν από τη γεωμετρία του φορέα και δεν επηρεάζονταν από το μέγεθος της εξωτερικής φόρτισης, π.χ. το Κέντρο Ελαστικής Στροφής, οι στατικές εκκεντρότητες, ή οι ακτίνες δυστρεψίας, είναι ανεξάρτητες του μεγέθους της σεισμικής δύναμης.

Στη συνέχεια θα υπολογίσουμε τις παραμορφώσεις του φορέα και τις εντάσεις του λόγω της εξωτερικής σεισμικής φόρτισης H.

Η εκάστοτε σεισμική δύναμη H εξασκείται στο κέντρο μάζας CM του διαφράγματος. Η δύναμη αυτή μπορεί να αναλυθεί στις δύο δυνάμεις Hx και Hy παράλληλα στους δύο άξονες του κύριου συστήματος. Για να μπορέσουμε να εφαρμόσουμε την προηγούμενη ανάλυση, μεταφέρουμε τις δυνάμεις Hx, Hy στο κέντρο ελαστικής στροφής CT μαζί με τη ροπή MCT βάσει της σχέσης:

(9)


Παράδειγμα Γ.7-1: Αν η οριζόντια δύναμη κατά x είναι H =90.6 kN [*]NoteNote Η δύναμη αυτή αντιστοιχεί σε σεισμική επιτάχυνση εφαρμογής στη θέση της μάζας a=0.20g, οπότε

Η=Σ( mi ) · 0.20 g = 45.3 · 103 kgr · 0.20 · 10 m / sec 2 =90.6 kN

, ζητείται η επίλυση του φορέα.

Υπολογισμός ροπής MCT :

Οι στατικές εκκεντρότητες είναι eox =-0.626 και eoy = yCM =-2.334 m

Για δύναμη Η= HX =90.6 kN στο αρχικό σύστημα X 0 Y θα έχουμε στο κύριο σύστημα ( a =22.44ο) την ισοδύναμη φόρτιση Hx = HX · cosa =90.6·0.924=83.72 kN και Hy=-HX·sina=-90.6· 0.382=-34.64 kN και

Μ CT =- Hx · eoy + Hy · eox =-83.72 kN · (-2.334 m )+[-34.64 kN · (-0.626 m )]=195.4 kNm +21.7 kNm =217.1 kNm

Με τα εξωτερικά μεγέθη Hx, Hy, MCT, υπολογίζουμε:

  • τις παραμορφώσεις δxo, δyo και θz του πόλου περιστροφής του διαφράγματος από τις σχέσεις:


Παράδειγμα Γ.7-2:

Έχουν ήδη υπολογιστεί Kxx =Σ( Kxxi )= 161.2 · 106 N / m , Kyy =Σ( Kyyi )= 161.2 · 106 N / m και Κθ=3134 · 106 N · m οπότε

δ xo = Hx xx =83.72 · 103 N /(274.41 · 106 N / m )=0.305 mm ,

δ yo = Hy yy =-34.46 · 103 N /(161.2 · 106 N / m )=- 0.214 mm και

θ z = MCT / K θ =217.1 kNm /(3134·103 kNm )=0.692·10-4

  • τις παραμορφώσεις δxi, δyi της κεφαλής κάθε κολόνας από τις σχέσεις:


  • και τις παραμορφώσεις δζi, δηi, με μεταφορά των δxi, δyi στο τοπικό σύστημα της κάθε κολόνας βάσει των σχέσεων:


Παράδειγμα Γ.7-3:

C 1 : δ x 1 = δ xo - θ z · y 1 =0.305 mm -0.692 · 10-4·(-3.50 · 103 mm )=(0.305+0.242) mm =0.547 mm

δ y 1 = δ yo + θ z · x 1 =-0.214 mm +0.692 · 10-4·(-4.35 · 103 mm )=(-0.214-0.301) mm =-0.515 mm

Και με μεταφορά στο τοπικό σύστημα που φ’1=0.0-22.44 ° =-22.44 °.

δζ1= δ x 1 · cos φ’1 y 1 · sin φ’1=0.547 ·0.924-0.515·(-0.382)=0.505+0.197=0.702 mm

δη1=-δ x 1 · sin φ’1 y 1 · cos φ’1=-0.547 ·(-0.382)+(-0.515)·0.924=0.209-0.476=-0.267 mm

C 2 : δ x 2 = δ xo - θ z · y 2 =0.305 mm -0.692 · 10-4·(-5.79 · 103 mm )=(0.305+0.400) mm =0.705 mm

δ y 2 = δ yo + θ z · x 2 =-0.214 mm +0.692 · 10-4 · 1.19 · 103 mm =(-0.214+0.082) mm =-0.132 mm

Και με μεταφορά στο τοπικό σύστημα που φ’2=0.0-22.44 ° =-22.4 °.

δζ2= δ x 2 · cos φ’2 y 2 · sin φ’2=0.705 ·0.924+(-0.291)·(-0.132)=0.652+0.038=0.701 mm

δη2=-δ x 2 · sin φ’2 y 2 · cos φ’2=-0.705 ·(-0.382)+(-0.132)·0.924=0.269-0.122=0.147 mm

C 3 : δ x 3 = δ xo - θ z · y 3 =0.305 mm -0.692 · 10-4 · 1.12 · 103 mm =(0.305-0.078) mm =0.227 mm

δ y 3 = δ yo + θ z · x 3 =-0.214 mm +0.692 · 10-4 · (-2.44 · 103 mm )=(-0.214-0.169) mm =-0.383 mm

Και με μεταφορά στο τοπικό σύστημα που φ’3=30.0-22.44 ° =7.56 °.

δζ3= δ x 3 · cos φ’3 y 3 · sin φ’3=0.227 ·0.991+(-0.383)·0.132=0.225-0.050=0.175 mm

δη3=-δ x 3 · sin φ’3 y 3 · cos φ’3=-0.227 ·0.132+(-0.383)·0.991=-0.030-0.380=-0.410 mm

C 4 : δ x 4 = δ xo - θ z · y 4 =0.305 mm -0.692 · 10-4 · (-1.17·103 mm )=(0.305+0.081) mm =0.386 mm

δ y 4 = δ yo + θ z · x 4 =-0.214 mm +0.692 · 10-4 · 3.10 · 103 mm =(-0.214+0.215) mm =0.001 mm

Και με μεταφορά στο τοπικό σύστημα που φ’4=45.0-22.44 ° =22.56 °.

δζ4= δ x 4 · cos φ’4 y 4 · sin φ’4=0.386 ·0.923+0.001·0.384=0.355+0.000=0.355 mm

δη4=-δ x 4 · sin φ’4 y 4 · cos φ’4=-0.386 ·0.384+0.001·0.923=-0.148+0.001=-0.147 mm

Στο συγκεκριμένο παράδειγμα όπου για σεισμό κατά X , η παραμόρφωση λόγω στροφής στη κολόνα C 2 δίνει δ x 2,θ =0.400 mm που είναι μεγαλύτερη από τη μεταφορική παραμόρφωση δ xo =0.305 mm και έτσι η συνολική παραμόρφωση γίνεται δ x 2 =0.305+0.400=0.705 mm .


Εικόνα Γ.7: Κατανομή ροπών (Mji,1- Mji,2=Vji·h)
Εικόνα Γ.7: Κατανομή ροπών (Mji,1- Mji,2=Vji·h)
  • τις τέμνουσες και τις ροπές κάθε υποστυλώματος στο τοπικό του σύστημα βάσει των σχέσεων:


Εικόνα Γ.7: Κατανομή ροπών (Mji,1- Mji,2=Vji·h)

Παράδειγμα Γ.7-4:

Υπολογισμός τεμνουσών και ροπών :

Ο συντελεστής κατανομής των ροπών θα ληφθεί ίδιος και προς τις 2 διευθύνσεις a ζ i = a η i =0.50 [*]NoteNote Οποιαδήποτε και αν είναι η πραγματική δυσκαμψία των κολονών και οποιοιδήποτε οι συντελεστές πάκτωσης στην κεφαλή και στον πόδα της κολόνας, ισχύειότι Mji,1-Mji,2=Vji·h όπου h το ύψος της κολόνας. Συντελεστής a ji=0.50 σημαίνει ισοκατανομή της ροπής στην κεφαλή και τη βάση της κολόνας.

C 1 : V ζ1 ζ1 · K ζ1 =0.702 mm · 31.1 · 106 N / m =21.8 kN

V η1 η1 · K η1 =-0.267 mm · 31.1 · 106 N / m =-8.3 kN

M ζ1,1 = V ζ1 · h · 0.50=21.8·3.0·0.50=32.7 kNm Mζ1,2=- Mζ1,1=-32.7 kNm

M η1,1 = V η1 · h · 0.50=-8.3·3.0·0.50=-12.5 kNm Mηι,2=- Mη1,1=12.5 kNm

C 2 : V ζ2 ζ2 · K ζ2 =0.701 mm · 31.1 · 106 N / m =21.8 kN

V η2 η2 · K η2 =0.147 mm · 31.1 · 106 N / m =4.6 kN

M ζ2,1 = V ζ2 · h · 0.50=21.8·3.0·0.50=32.7 kNm Mζ2,2=- Mζ2,1=-32.7 kNm

M η2,1 = V η2 · h · 0.50=4.6·3.0·0.50=6.9 kNm Mη2,2=- Mη2,1=-6.9 kNm

C 3 : V ζ3 ζ3 · K ζ3 =0.175 mm · 186.6 · 106 N / m =32.7 kN

V η3 η3 · K η3 =-0.410 mm · 26.2 · 106 N / m =-10.8 kN

M ζ3,1 = V ζ3 · h · 0.50=32.7·3.0·0.50=49.1 kNm Mζ3,2=- Mζ3,1=-49.1 kNm

M η3,1 = V η3 · h · 0.50=-10.8·3.0·0.50=-16.2 kNm Mη3,2=- Mη3,1=16.2 kNm

C 4 : V ζ4 ζ4 · K ζ4 =0.355 mm · 19.7 · 106 N / m =7.0 kN

V η4 η4 · K η2 =-0.147 mm · 78.7 · 106 N / m =-11.6 kN

M ζ4 = V ζ4 · h · 0.50=7.0·3.0·0.50=10.5 kNm Mζ4,2=- Mζ4,1=-10.5 kNm

M η4,1 = V η4 · h · 0.50=-11.6·0·0.50=-17.4 kNm Mη4,2=- Mη4,1=17.4 kNm


Γ.8 Μέθοδος εργασίας:

Αν συνοψίσουμε όλη την θεωρία, για να επιτύχουμε τη λύση ενός προβλήματος της πράξης, μπορούμε να ακολουθήσουμε την παρακάτω περιγραφόμενη πορεία υπολογισμών. Η πορεία αυτή έχει ακολουθηθεί και στο συνοδευτικό αρχείο <diaphragm_general.xls> [*]NoteNote Υπάρχει επίσης και το συνοδευτικό αρχείο <diaphragm_ortho.xls> το οποίο υποστηρίζει την ειδική περίπτωση των παράλληλων ορθογωνικών κολονών που περιγράφεται στην §5.4. , με το οποίο επαληθεύονται οι υπολογισμοί του παραδείγματος αυτού καθώς και των υπόλοιπων που ακολουθούν, αλλά και κάθε άλλου διαφραγματικού ορόφου.

ΓΕΩΜΕΤΡΙΚΑ ΣΤΟΙΧΕΙΑ ΤΟΥ ΔΙΑΦΡΑΓΜΑΤΟΣ (ανεξάρτητα της φόρτισης)

1. Υπολογίζονται οι τοπικές κύριες δυσκαμψίες των κολονών K ζ i , K η i , Kzi και η γωνία φ i [*]NoteNote Γωνία φi στο τοπικό σύστημα ζ,η υπάρχει μόνο σε στοιχεία με διατομή χωρίς συμμετρία π.χ. Γάμα, ανισοσκελές ταυ, ζήτα, κ.τ.λ. του κύριου τοπικού άξονα.

2. Υπολογίζεται η γωνία a του κύριου συστήματος αξόνων από την εξίσωση (3)

3. Υπολογίζονται οι γωνίες φ’ i κάθε κολόνας ως προς το κύριο σύστημα x , y από τη σχέση φ’ i i - a

4. Υπολογίζονται οι δυσκαμψίες Kxxi , Kxyi , Kyyi κάθε κολόνας στο κύριο σύστημα x , y από τις σχέσεις των εξισώσεων ( a ), ( b ), ( c )

5. Υπολογίζουμε από το τυπολόγιο αλλαγής αξόνων από το κύριο σύστημα X 0 Y στο βοηθητικό σύστημα x ’0 y ’, τις συντεταγμένες ( x i , y i ) του κέντρου βάρους κάθε κολόνας και του κέντρο μάζας ( x CM , y CM ).

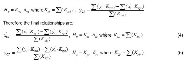
6. Υπολογίζονται οι συνολικές δυσκαμψίες του διαφράγματος από τις σχέσεις Kx =Σ( Kxxi ), Ky =Σ( Kyyi ), οι ποσότητες Σ( x i · Kyyi ), Σ( y i · Kxyi ), Σ( y i · Kxxi ), Σ( x i · Kxyi ) και οι συντεταγμένες του κέντρου ελαστικής στροφής CT ( x CT , y CT ) από τις εξισώσεις (4) και (5)

7. Μεταφέρουμε τις συντεταγμένες x ’, y ’ του κέντρου μάζας CM του διαφράγματος και του κέντρου βάρους κάθε κολόνας στο κύριο σύστημα αξόνων και υπολογίζουμε τις στατικές εκκεντρότητες eox , eoy του φορέα από τις σχέσεις (6)

8. Υπολογίζουμε τη δυστρεψία K θ του διαφράγματος από την εξίσωση (7)

9. Υπολογίζουμε τις ακτίνες δυστρεψίας rx , ry από τις σχέσεις (8)

Έως εδώ οι υπολογισμοί ήταν ανεξάρτητοι της εξωτερικής φόρτισης. Στη συνέχεια υπολογίζεται η κατανομή της έντασης και οι ελαστικές παραμορφώσεις των στοιχείων του διαφράγματος, λόγω της εξωτερικής φόρτισης.

ΠΑΡΑΜΟΡΦΩΣΕΙΣ ΚΑΙ ΕΝΤΑΣΕΙΣ ΤΟΥ ΟΡΟΦΟΥ (εξαρτώμενες από την φόρτιση)

10. Μεταφέρουμε τη σεισμική δράση με τις οριζόντιες δυνάμεις Hx , Hy και τη ροπή MCT στο κέντρο ελαστικής στροφής από την εξίσωση (9)

11. Υπολογίζουμε τις παραμορφώσεις δ xo , δ yo και θ z του πόλου περιστροφής του διαφράγματος από τις σχέσεις (10)

12. Υπολογίζουμε τις παραμορφώσεις δ xi , δ yi της κεφαλής κάθε κολόνας από τις σχέσεις (11)

13. Υπολογίζουμε τις αντίστοιχες μετακινήσεις δζ i , δη i στο τοπικό σύστημα συντεταγμένων κάθε κολόνας από τις σχέσεις (12)

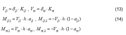
14. Υπολογίζουμε τις κύριες τέμνουσες V ζ i , V η i κάθε κολόνας από τις σχέσεις (13)

15. Υπολογίζουμε τις κύριες ροπές κάμψης M ζ i ,1 , M ζ i ,2 & M η i ,1 , M η i ,2 από τις σχέσεις (14)


Γ.9 Σχέσεις μεταξύ αρχικού συστήματος X0Y και κύριου συστήματος xCTy

Σεισμός με δύναμη Η X = H κατά τη διεύθυνση X (HΥ=0) στο αρχικό σύστημα X0Y:

Οι ισοδύναμες δυνάμεις Hx, Hy στο κύριο σύστημα xCTy είναι: Hx=H·cosa και Hy=-H·sina και οι ισοδύναμες παραμορφώσεις του CT δx, δy στο κύριο σύστημα είναι: δx = δXXο·cosa + δΧΥο·sina και δy=- δXXο·sina + δΧΥο·cosa. Ισχύει Hx=Kxx·δx και Hy=Kyy·δy επομένως:

H · cosa = Kxx · ( δ XX ο · cosa + δΧΥο · sina ) H=Kxx·( δXXο+tana ·δΧΥο) (i)

- H · sina = Kyy · (-δ XX ο · sina + δΧΥο · cosa ) -tana·H=Kyy·(-tana· δXXοΧΥο) (ii)

Σεισμός με δύναμη Η Y = H κατά τη διεύθυνση Y (HX=0) στο αρχικό σύστημα X0Y:

Οι ισοδύναμες δυνάμεις Hx, Hy στο κύριο σύστημα xCTy είναι: Hx=H·sina και Hy=H ·cosa και οι ισοδύναμες παραμορφώσεις δx, δy στο κύριο σύστημα είναι:

δ x = δΧΥο · cosa + δ YYo · sina και δy =-δYXo·sina+ δYYo ·cosa.

Ισχύει Hx=Kxx·δx και Hy=Kyy·δy και επειδή δYXo = δΧΥο προκύπτουν:

H · sina = Kxx · ( δΧΥο · cosa + δ YYo · sina ) tana·H=Kxx·( δΧΥο+tana ·δYYo) (iii)

H · cosa = Kyy · (-δΧΥο · sina + δ YYo · cosa ) H=Kyy·(-tana·δΧΥο YYo) (iv)

(iv) Kyy=H/(δYYo - tana·δΧΥο)

(i) Kxx=H/(δXXο + tana·δΧΥο)

(iii) tana·H= H/( δXXο+tana·δΧΥο)·( δΧΥο+tana·δ YYo)

tana · ( δ XX ο +tana · δΧΥο )= δΧΥο +tana · δ YYo ) tana·δXXο +tan2a· δΧΥο = δΧΥο +tana·δYYo

δΧΥο · (1- tan2a)=tana · ( δ XX ο - δΧΥο ) δΧΥο=[tana/(1- tan2a)]·( δXX ο - δYYo)

tan2a = 2 δΧΥο / ( δ XX ο - δ YYo ) (Γ.9.1)

Kxx=H/( δ XX ο +tana · δΧΥο ) (Γ.9.2)

Kyy=H/( δ YYo -tana · δΧΥο ) (Γ.9.3)

Κθ =H · (YCT-YCM)/ θ xz (Γ.9.4)

rx= (K θ /Kyy) (Γ.9.5)

ry= (K θ /Kxx) (Γ.9.6)

Γ.10 Μονώροφο χωρικό πλαίσιο με ορθογωνικές κολόνες σε τυχούσα διάταξη

Στο παράρτημα Δ περιγράφεται η μέθοδος με την οποία προσδιορίζεται η διαφραγματική λειτουργία του κάθε ορόφου και υπάρχουν σχετικά παραδείγματα με την επαλήθευση των αλγορίθμων της γενικής μεθόδου.

Στην παράγραφο αυτή επιλύεται σε οριζόντια σεισμική δύναμη H=90.6 kN, το μονώροφο χωρικό πλαίσιο της εικόνας με τέσσερις τρόπους: (i) με το χέρι θεωρώντας την κατακόρυφη δυσκαμψία των δοκών άπειρη, (ii) με το excel και την ίδια θεώρηση, (iii) με το excel και θεώρηση μέσου συντελεστή δυσκαμψίας των κολονών k=6, (iv) με τη δυσκαμψία των δοκών και κολονών που προκύπτει από την ελαστική επίλυση του φορέα.


Εικόνα Γ.10: Ο σκελετός και η προσομοίωσή του μονόροφου χωρικού πλαισίου
Εικόνα Γ.10: Ο σκελετός και η προσομοίωσή του μονόροφου χωρικού πλαισίου

Τα ονόματα, τα φορτία, οι συντεταγμένες και οι διαστάσεις των πλακών και κολονών είναι αυτές που αναφέρονται στο σχήμα της § Γ.1, ενώ οι δοκοί έχουν διαστάσεις 250/500. Η ποιότητα σκυροδέματος είναιC30/37 (Ε=32.80 GPa).

Γ.10.1 Επίλυση με το χέρι, με θεώρηση αφίπακτων κολονών (k=12)

Η επίλυση είναι αυτή που δόθηκε ως παράδειγμα σε όλες τις προηγούμενες παραγράφους αυτού του παραρτήματος.

Γ.10.2 Επίλυση με το excel, με θεώρηση αμφίπακτων κολονών (k=12)

Χρησιμοποιείται το συνοδευτικό υπολογιστικό φύλλο <diaphragm_general.xls> με τη θεώρηση άκαμπτων ζυγωμάτων.


Εικόνα Γ.10.2: Τα αποτελέσματα είναι ίδια με τις πράξεις στο χέρι.
Εικόνα Γ.10.2: Τα αποτελέσματα είναι ίδια με τις πράξεις στο χέρι.

Στο τέλος του φύλλου σχεδιάζεται και ο φορέας με την έλλειψη δυστρεψίας και με τις ισοδύναμες κολόνες.

Γ.10.3 Επίλυση με το excel και θεώρηση κολονών με k=6

Αν παρατηρήσουμε τα αποτελέσματα του excel, προκύπτει ότι, το κέντρο ελαστικής στροφής, οι ακτίνες δυστρεψίας του φορέα και τα εντατικά μεγέθη είναι ακριβώς ίδια με των προηγούμενων περιπτώσεων. Αυτό που αλλάζει μόνο είναι το μέγεθος των παραμορφώσεων, αλλά και πάλι οι σχετικές μεταξύ τους τιμές παραμένουν σταθερές ίσες με 12/6=2.00.

Γ.10.4 Επίλυση με θεώρηση κανονικών ελαστικών δυσκαμψιών δοκών και κολονών

Για να προσδιορίσουμε τη διαφραγματική λειτουργία του ορόφου ενός κτιρίου, με πραγματικές δυσκαμψίες και όχι με παραδοχές αμφίπακτης λειτουργίας των κολονών του, πρέπει να χρησιμοποιήσουμε κατάλληλο λογισμικό. Η χρήση λογισμικού είναι αναγκαία, είτε το κτίριο είναι μονώροφο, είτε είναι πολυώροφο, είτε έχει ορθογωνικές κολόνες σε παράλληλη διάταξη, είτε όχι.

Στο παράρτημα Δ περιγράφεται η μέθοδος με την οποία προσδιορίζεται η διαφραγματική λειτουργία του κάθε ορόφου και το συγκεκριμένο παράδειγμα, επιλύεται ως παράδειγμα 1.

 


« ΠΑΡΑΡΤΗΜΑ Β ΠΑΡΑΡΤΗΜΑ Δ »

Απόκτηση εξοπλισμού με Χρηματοδότηση 100% μέσω του ΕΣΠΑ

Π-SYSTEMS ΑΕ



Ευχαριστούμε για την υποστήριξη τις διακεκριμένες εταιρίες:


ΧΑΤΖΗΔΑΒΙΤΙΔΗΣ ΑΕ ΧΑΤΖΗΔΑΒΙΤΙΔΗΣ ΑΕ

Π-SYSTEMS ΑΕ Π-SYSTEMS ΑΕ