« Επιρροή κάμψης και διάτμησης σε παραμορφώσεις και εντάσεις Η επιρροή της ροπής αδράνειας των κολονών »

 

Η επιρροή του βαθμού πάκτωσης των κολονών

Ο βαθμός πάκτωσης του άκρου, προς συγκεκριμένη διεύθυνση, ενός υποστυλώματος εξαρτάται από τη δυσκαμψία του ιδίου, σε σχέση με τη δυσκαμψία των δοκών που συντρέχουν στο συγκεκριμένο άκρο, στη συγκεκριμένη διεύθυνση.

Ο βαθμός πάκτωσης κυμαίνεται από πάκτωση μέχρι άρθρωση. Η πάκτωση προσεγγίζεται όταν έχουμε πολύ ισχνό υποστύλωμα (π.χ. διατομής 300/300) και ισχυρές δοκούς (π.χ. πλακοδοκούς ύψους 800 mm) ενώ η άρθρωση προσεγγίζεται στη μεν κορυφή όταν έχουμε σκέτη πλάκα, στη δε βάση όταν έχουμε ασθενές πέδιλο σε μαλακό έδαφος, χωρίς να συντρέχει συνδετήρια δοκός.

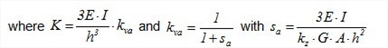
Μονόπακτο υποστύλωμα

Αν το προηγούμενο υποστύλωμα είναι πακτωμένο στη βάση και αρθρωτό (ή ελεύθερο) στην κορυφή του, τότε το ισοδύναμη μέλος έχει την παρακάτω συμπεριφορά:


Εικόνα 5.1.2-1: Μονόπακτο υποστύλωμα K = (3 E I / h 3) k va
Εικόνα 5.1.2-1: Μονόπακτο υποστύλωμα K = (3 E I / h 3) k va

Η συνολική παραμόρφωση δ οφείλεται:

(α) στην παραμόρφωση δ1 λόγω της κάμψης που επιφέρει η δύναμη H, για την οποία ισχύει:


(β) στην παραμόρφωση δ2 λόγω της διάτμησης που επιφέρει η δύναμη H,για την οποία ισχύει:


Η σχέση που συνδέει την τέμνουσα δύναμη H και την αντίστοιχη παραμόρφωση δ είναι:

H = K· δ


Ο όρος K ονομάζεται δυσκαμψία της μονόπακτης κολόνας.

kv aΟ συντελεστής kva καλείται διορθωτικός συντελεστής της καμπτικής δυσκαμψίας της μονόπακτης κολόνας λόγω διάτμησης και είναι πάντοτε kva <1.0. Για συνήθη υποστυλώματα μπορεί να αγνοείται (δηλαδή λαμβάνεται kva=1.0)ενώ για τοιχία θα πρέπει να λαμβάνεται υπόψη το kva .

Παράδειγμα 5.1.2-1

Δίνεται μονόπακτο υποστύλωμα διατομής 400m m /400 mm , height h =3.0 m , μέτρο ελαστικότητας E =32.8 GP , συγκεντρωμένη μάζα στην κεφαλή του m =80 t συντελεστής σεισμικής επιτάχυνσης σχεδιασμού στην κεφαλή του υποστυλώματος a / g =0.10.

Ζητούνται τα εντατικά του μεγέθη και η μετατόπιση της κεφαλής του σε σχέση με τον πόδα του.

W =80 · 1000 kg · 10 m / sec 2 =800 kN , H =0.10·800=80 kN , V = H =80 kN

M 1 =0 and Μ 2 =- H · h =-80·3.0=-240 kNm

I =0.40·0.403/12=21.33·10-4 m 4

Αν δεν ληφθεί υπόψη η διάτμηση, K=3 · EI / h 3 =3 · 32.8 · 109 · Ν /m2 · 21.33 · 10-4m4/(3.03 · m3)=7.77·106 N / m .

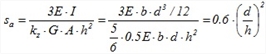
Αν ληφθεί υπόψη η διάτμηση, επειδή G=0.5E, kz=5/6 (ορθογωνική διατομή) και A=b έχουμε · d: Η σχέση αυτή είναι ανεξάρτητη του πλάτους της διατομής και ισχύει για κάθε μονόπακτη κολόνα ορθογωνικής διατομής.


Για τη συγκεκριμένη κολόνα είναι


και επομένως


Συνοψίζοντας:

Αν δεν ληφθεί υπόψη η διάτμηση, δ =H/K=80 · 103N/(7.77 · 106N/ m ) =10.30 mm .

Αν ληφθεί υπόψη η διάτμηση, δ =H/K=80 · 103N/(7.69 · 106N/ m ) =10.40 mm , δηλαδή σ’ αυτήν την περίπτωση η μετακίνηση προκύπτει μεγαλύτερη κατά 1% σε σχέση με την περίπτωση που δε ληφθεί υπόψη η διάτμηση.


Παράδειγμα 5.1.2-2

Τα ίδια δεδομένα και τα ίδια ζητούμενα για τοιχίο διατομής 2000/300.

W =80 · 1000 kg · 10 m / sec 2 =800 kN , H =0.10·800=80 kN , V = H =80 kN

M 1 =- Μ 2 =- H · h /2=-80·3.0/2=120 kNm

I =0.30·2.003/12=0.20 m 4

Αν δεν ληφθεί υπόψη η διάτμηση, K=3 · EI / h 3 =3 · 32.8 · 109 · Ν /m2 · 0.20m4/(3.03 · m3)=728.89·106 N / m .

Για τη συγκεκριμένη κολόνα είναι



επομένως αν δεν ληφθεί υπόψη η διάτμηση, δ =H/K=80 · 103N/(728.89 · 106N/ m )=0.110 mm .

Αν ληφθεί υπόψη η διάτμηση, δ =H/K=80 · 103N/(575.10 · 106N/ m ) =0.139 mm , δηλαδή σ’ αυτήν την περίπτωση η μετακίνηση προκύπτει μεγαλύτερη κατά 26% σε σχέση με την περίπτωση που δε λαμβάνεται υπόψη η διάτμηση.

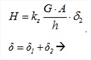
Αμφιαρθρωτό υποστύλωμα

Αν το υποστύλωμα έχει άρθρωση και στις δύο στηρίξεις, τότε το ισοδύναμο μέλος δεν κάμπτε-ται, δηλαδή δεν αναλαμβάνει ούτε τέμνουσα ούτε ροπή. Ενδεικτικά, αμφιαρθρωτό υποστύλωμα μπορεί να προκύψει σε όροφο χωρίς δοκούς στην οροφή και στο δάπεδό του.


Εικόνα 5.1.2-2
Εικόνα 5.1.2-2

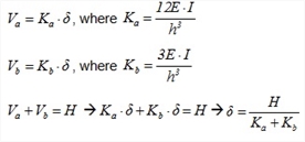
Συζευγμένα υποστυλώματα (Πλαίσια)

Θεωρούμε τα τρία προηγούμενα υποστυλώματα, δηλαδή το αμφίπακτο, το μονόπακτο και το αμφιαρθρωτό, να μετέχουν σε ένα μονώροφο πλαίσιο. Τα υποστυλώματα έχουν ίδιο υλικό και διατομή 400/400, άρα και ίδιο E·I. Επίσης, η μάζα επί της κεφαλής τους, άρα και το σεισμικό φορτίο H είναι τα ίδια. Λόγω ύπαρξης πλάκας, το ζύγωμα του πλαισίου είναι πρακτικά μη αξονικά παραμορφούμενο. Σε περίπτωση σεισμού, η κεφαλή κάθε υποστυλώματος εξαναγκάζεται στην ίδια μετακίνηση δ ανεξάρτητα από τη δυσκαμψία του.


Εικόνα 5.1.2-3: Η αμφίπακτη κολόνα αναλαμβάνει το 80% της σεισμικής δύναμης.
Εικόνα 5.1.2-3: Η αμφίπακτη κολόνα αναλαμβάνει το 80% της σεισμικής δύναμης.

Θεωρούμε αμελητέα την επιρροή των τεμνουσών δυνάμεων.


Επομένως


Ο παράγων


είναι κοινός σε όλες τις δυσκαμψίες. Άρα,


Παρατηρούμε ότι το 80% της σεισμικής δύναμης H αναλαμβάνεται από το πρώτο (αμφίπακτο) υποστύλωμα.

Παράδειγμα 5.1.2-3

Έστω τρία ίδια υποστυλώματα διατομής 400/400 όμοια με αυτά των προηγούμενων παραδειγμάτων και το συντελεστής σεισμικής επιτάχυνσης ίσος a / g =0.10.

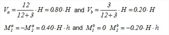
H=3·(0.10·800kN)=240 kN

Va=0.80·240=192 kN, Vb=0.20·240=48 k

Ma1=-Ma2=192·3.0/2=288 kNm, Mb1=0, Mb2=-48· 3.0=-144 kNm

Σ( K )= Ka + Kb =15 EI / h 3 =15·32.8·109 · Ν/ m 2 · 21.33·10-4 m 4 /(3.03 · m 3 )=38.87·106 N / m

δ= H /Σ( K )=240·103 N /(38.87·106 N / m ) =6.17 mm


 


« Επιρροή κάμψης και διάτμησης σε παραμορφώσεις και εντάσεις Η επιρροή της ροπής αδράνειας των κολονών »

Απόκτηση εξοπλισμού με Χρηματοδότηση 100% μέσω του ΕΣΠΑ

Π-SYSTEMS ΑΕ



Ευχαριστούμε για την υποστήριξη τις διακεκριμένες εταιρίες:


ΧΑΤΖΗΔΑΒΙΤΙΔΗΣ ΑΕ ΧΑΤΖΗΔΑΒΙΤΙΔΗΣ ΑΕ

Π-SYSTEMS ΑΕ Π-SYSTEMS ΑΕ