« Άσκηση 4.9.3 Άσκηση 4.9.5 »

 

Άσκηση 4.9.4

Δίνονται: Η ποιότητα σκυροδέματος και τα φορτία παραμένουν ίδια.

Ζητούμενο : Ζητείται η στατική επίλυση και τα βέλη κάμψης των πλακών της προηγούμενης άσκησης, αν οι δύο πρώτες πλάκες είναι τετραέρειστες αντί αμφιέρειστες, όπως φαίνεται στο ακόλουθο σχήμα.


Εικόνα 4.9.4-1: Μελέτη <Β_494>
Εικόνα 4.9.4-1: Μελέτη <Β_494>

Λύση:


Εικόνα 4.9.4-2
Εικόνα 4.9.4-2

Επειδή η επιρροή του προβόλου s3 επί της γειτονικής του πλάκας δεν είναι γνωστή, υπέρ της ασφαλείας, η πλάκα s2 θεωρείται μονόπακτη, όπως και η πλάκα s1.

s1,s2: θεωρούμε τις πλάκες στραμμένες κατά 90º, οπότε από τον πίνακα b5.2 ε=ly/lx=4.0/5.0=0.80 akx=0.141, ky=0.859, vx=0.817, vy=0.742, am=0.0180, ρxryr=0.293, ρyerm=0.507, υxr=0.146, υyr=0.207, υyerm=0.359 a

px=kx · p=0.141x9.75=1.37 kN/m, py=ky · p=0.859x9.75=8.38 kN/m

Mxx · px · lx2/8=0.817x1.37x5.02/8=3.50 kNm

Myy · py · ly2/14.22=0.742x8.38x4.02/14.22=7.00 kNm

Myerm=-py · ly2/8=-8.38x4.02/8=-16.76 kNm

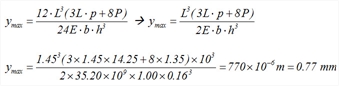
fm=0.0180x9.75x103N/m2x5.04m4/(35.20x109N/m2x1.0mx0.163m 3)==761x10-6m=0.76 mm

Vxr=Vyrxr · p · lx=0.293x9.75x5.0=14.28 kN

Vyermyerm · p · lx=0.507x9.75x5.0=24.72 kN

pxrxr · p · lx=0.146x9.75x5.0=7.12 kN/m

pyryr · p · lx=0.207x9.75x5.0=10.09 kN/m

pyermyerm · p · lx=0.359x9.75x5.0=17.50 kN/m



Εικόνα 4.9.4-3
Εικόνα 4.9.4-3

Στήριξη s1-s2: M1-2=-(16.76+16.76)/2=-16.76 kNm

Στήριξη s2-s3:

Μ2-3=Myerm,3=-p · ly2/2-P · ly=-14.25x1.452/2-1.35x1.45=-16.94 kNm

Vyerm,3=p · ly+P=14.25x1.45+1.35=22.01 kN

Το βέλος προβόλου στο άκρο του δίνεται από τη σχέση


όπου ο πρώτος όρος οφείλεται στο ομοιόμορφο φορτίο και ο δεύτερος στο συγκεντρωμένο φορτίο στην άκρη του.

Στην περίπτωση πλάκας (λωρίδα πλάτους b=1.0m), όπου I=bxh3/12,το μέγιστο βέλος (άκρο) προκύπτει ίσο με:


Μεταφέρουμε τα αποτελέσματα στο αρχικό σύστημα συντεταγμένων και προκύπτουν τα εξής εντατικά μεγέθη:

M1-2=-16.76, M2-3=-16.94, Mx,1=7.00, My,1=3.50, Mx,2=7.00, My,2=3.50 [kNm]

Vxr,1=14.28, Vxerm,1=24,72, Vyr,1=14.28, Vxerm,2=24.72, Vxr,2=14.28, Vyr,2=14.28, V xerm,3=22.01 [kN]

τις εξής ομοιομορφισμένες αντιδράσεις στις στηρίξεις:

pxr,1=10.09, pxerm,1=17.50, pyr,1=7.12, pxerm,2=17.50, pxr,2=10.09, pyr,2=7.12 [kN/m]

και τις φορτίσεις επί των δοκών:

b1: p=10.09 kN/m, b4 and b6: p=7.12, b2: p=17.50+17.50=35.00, b5 and b7: p=7.12 b3:p=10.44+22.01=32.45 [kN/m]



 


« Άσκηση 4.9.3 Άσκηση 4.9.5 »

Απόκτηση εξοπλισμού με Χρηματοδότηση 100% μέσω του ΕΣΠΑ

Π-SYSTEMS ΑΕ



Ευχαριστούμε για την υποστήριξη τις διακεκριμένες εταιρίες:


ΧΑΤΖΗΔΑΒΙΤΙΔΗΣ ΑΕ ΧΑΤΖΗΔΑΒΙΤΙΔΗΣ ΑΕ

Π-SYSTEMS ΑΕ Π-SYSTEMS ΑΕ