Η επιρροή του διαφορικού ύψους των κολονών
Εικόνα 5.1.4-1: Πλαίσιο της πράξης, μελέτη <B_514> Εικόνα 5.1.4-1: Πλαίσιο της πράξης, μελέτη <B_514>
Εικόνα 5.1.4-2: Η “κοντή” κολόνα αναλαμβάνει το 89% της σεισμικής δύναμης. Εικόνα 5.1.4-2: Η “κοντή” κολόνα αναλαμβάνει το 89% της σεισμικής δύναμης.
Εικόνα 5.1.4-3: Η ροπή κάμψης της “κοντής” κολόνας είναι τετραπλάσια από την αντίστοιχη ροπή της “ψηλής”. Εικόνα 5.1.4-3: Η ροπή κάμψης της “κοντής” κολόνας είναι τετραπλάσια από την αντίστοιχη ροπή της “ψηλής”.
Παρατηρούμε ότι το 89% της σεισμικής τέμνουσας αναλαμβάνεται από το αριστερό (κοντό) υποστύλωμα.
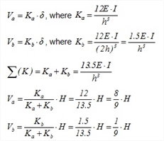
Παράδειγμα 5.1.4: Έστω τα πρότυπα υποστυλώματα 400/400, και συντελεστής σεισμικής επιτάχυνσης a / g =0.10.
Συνολική οριζόντια δύναμη: H = 2·(0.10·800kN)= 160 kN
Va=160 ·8 /9=142.2 kN, Vb=160 ·1 /9=17.8 kN
Ma1=-Ma2=142.2·3.0/2=213.3 kNm, Mb1=-Mb2=17.8· 6.0/2=53.4 kNm
Δυσκαμψία αριστερού υποστυλώματος: Ka=12EI/h3= 31.10·106 N / m
Δυσκαμψία δεξιού υποστυλώματος: Kb=1.5E · I/h3=(1.5· 31.10·106 N / m )/12 =3.89 · 106 N/ m
επομένως δ = H / Σ (K)=160·103N/(34.99 · 106 N/m) =4.573 mm .
Στη μελέτη του συνοδευτικού λογισμικού, η αριστερή κολόνα C1 έχει διατομή 400/400 και ύψος 3.00 m, ενώ η δεξιά κολόνα C2 έχει αντίστοιχα διατομή 800/400 και ύψος 6.00 m. To ζύγωμα έχει διατομή πλακοδοκού 250/500/1010/150 και άνοιγμα 5.00 m.
Εικόνα 5.1.4-4: Ελαστική γραμμή, δmax=6.468 mm Εικόνα 5.1.4-4: Ελαστική γραμμή, δmax=6.468 mm
|
Εικόνα 5.1.4-5: Διάγραμμα τεμνουσών δυνάμεων Εικόνα 5.1.4-5: Διάγραμμα τεμνουσών δυνάμεων
|
Εικόνα 5.1.4-6: Διάγραμμα ροπών κάμψης Εικόνα 5.1.4-6: Διάγραμμα ροπών κάμψης
|
Εικόνα 5.1.4-7: Διάγραμμα αξονικών δυνάμεων Εικόνα 5.1.4-7: Διάγραμμα αξονικών δυνάμεων
|
Προσομοίωση του παραδείγματος με πραγματικούς βαθμούς πάκτωσης στις κολόνες, δηλαδή αυτές που προκύπτουν από την επίλυση του φορέα.
Παρατηρούμε ότι η πραγματική μετακίνηση του ζυγώματος δ=6.468 mm δεν είναι πολύ μεγαλύτερη της θεωρητικής δ =4.573 mm που είχε προκύψει με θεώρηση πλήρους πάκτωσης. Αυτό οφείλεται στην κανονική διατομή των κολονών και κυρίως στη μικρή δυσκαμψία του δεξιού υποστυλώματος λόγω μεγάλου ύψους.
Η πραγματική δυσκαμψία της C1 ισούται με Ka=Va/δ=(134.3·103N)/0.006468m=20.73 ·106 kN/m (έναντι 31.10·106 N/m της αμφίπακτης).
Η πραγματική δυσκαμψία της C2 ισούται με Kb=Vb/δ=(25.7·103N)/0.006468m=3.97 ·106 kN/m (έναντι 3.89·106 N/m της αμφίπακτης, δηλαδή πρακτικά ίδια).
Λαμβάνοντας υπόψη την επιρροή των τεμνουσών δυνάμεων (Shear effect=ON), η παραμόρφωση προκύπτει ίση με δ=6.634 mm (έναντι δ =6.468 mm, δηλαδή ελάχιστη επιρροή).