« Η επιρροή του βαθμού πάκτωσης των κολονών Η επιρροή του διαφορικού ύψους των κολονών »

 

Η επιρροή της ροπής αδράνειας των κολονών

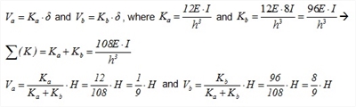
Έστω το δίστυλο πλαίσιο του επόμενου σχήματος. Το δεξί υποστύλωμα έχει οκταπλάσια ροπή αδράνειας σε σχέση με το αριστερό. Τα δύο υποστυλώματα λειτουργούν ως αμφίπακτα, διότι το ζύγωμα έχει άπειρη ροπή αδράνειας.


Εικόνα 5.1.3-1: Η ισχυρή κολόνα (800/400) αναλαμβάνει το 89% του σεισμού, ενώ η ασθενής (400/400) το 11%.
Εικόνα 5.1.3-1: Η ισχυρή κολόνα (800/400) αναλαμβάνει το 89% του σεισμού, ενώ η ασθενής (400/400) το 11%.


Δηλαδή το 89% της σεισμικής δύναμης αναλαμβάνεται από το δεύτερο υποστύλωμα!


Παράδειγμα 5.1.3 Έστω ότι το πρώτο υποστύλωμα είναι το προηγούμενο τυπικό 400/400 και ότι το δεύτερο διαφέρει μόνο ως προς τη μία πλευρά της διατομής (800 mm αντί 400 mm με Ι 800/400 =8 Ι 400/400 ). The seismic acceleration factor of a / g =0.10.

H= 2·(0.10·800kN)= 160 kN

Va=160 ·1 /9=17.8 kN, Vb=160·8/9=142.2 kN

Ma1=-Ma2=17.8·3.0/2=26.7 kNm, Mb1=-Mb2=142.2·3.0/2=213.3 kNm

Ka=12EI/h3= 31.10·106 N/m and Kb=12E · 8I/h3=8· 31.10·106N/m =248.8 · 106 N/m

Σ( K )=279.9 · 106 N / m

δ= H /Σ( K )=(160·103 N )/(279.9 · 106 N / m )=0.572 mm

Στη μελέτη του συνοδευτικού λογισμικού, η κολόνα C1 έχει διατομή 400/400 και ύψος 3.0 m, ενώ η C2 800/400 έχει αντίστοιχα διατομή 400/400 και ίδιο ύψος. Η πλακοδοκός έχει διατομή 250/500/1010/150 και το ζύγωμα άνοιγμα 5.0 m.


Εικόνα 5.1.3-2: Το πλαίσιο του παραδείγματος χωρίς στερεά σώματα με το 100% των ελαστικών δυσκαμψιιών
Εικόνα 5.1.3-2: Το πλαίσιο του παραδείγματος χωρίς στερεά σώματα με το 100% των ελαστικών δυσκαμψιιών

Οι τιμές των παραμέτρων που απαιτούνται για την ανάλογη προσομοίωση είναι:



Εικόνα 5.1.3-3
Εικόνα 5.1.3-3

Εικόνα 5.1.3-4
Εικόνα 5.1.3-4

Εικόνα 5.1.3-5: Ελαστική γραμμή, δmax=1.366 mm
Εικόνα 5.1.3-5: Ελαστική γραμμή, δmax=1.366 mm

Εικόνα 5.1.3-6: Διάγραμμα τεμνουσών δυνάμεων
Εικόνα 5.1.3-6: Διάγραμμα τεμνουσών δυνάμεων

Εικόνα 5.1.3-7: Διάγραμμα ροπών κάμψης
Εικόνα 5.1.3-7: Διάγραμμα ροπών κάμψης

Εικόνα 5.1.3-8: Διάγραμμα αξονικών δυνάμεων
Εικόνα 5.1.3-8: Διάγραμμα αξονικών δυνάμεων

Προσομοίωση του παραδείγματος με ελαστικούς βαθμούς πάκτωσης στις κολόνες

Τα αποτελέσματα εμφανίζονται με την κεντρική επιλογή “Αποτελέσματα Ανάλυσης”, έπειτα “Συνδυασμένα”=OFF, “Ορισμός Συνδυασμού” [“Απαλοιφή όλων”, “Ex”=1.0, “OK”] και στη συνέχεια “Τέμνουσες” (“Ροπές”, κτλ.), “Εμφάνιση τιμών”=ON. Για πιο λεπτομερή αποτελέσματα, μπορεί να ζητηθεί “Εκτυπώσεις”, “Αποτελέσματα Αντισεισμικού”, “Αναλυτική”.

Παρατηρούμε ότι η πραγματική μετακίνηση του ζυγώματος t δ=1.366 mmείναι πολύ μεγαλύτερη της θεωρητικής δ =0.572 mm που είχε προκύψει με θεώρηση πλήρους πάκτωσης. Αυτό οφείλεται κυρίως στην ισχυρή κολόνα και στη σημαντικά μικρότερη πραγματική δυσκαμψία της κανονικής δοκού.

Η πραγματική δυσκαμψία C1 ισούται μεKa=Va/δ=(36.1·103 N/0.00136633m)=26.42·106 kN/m (έναντι 31.10·106 N/m της αμφίπακτης, δηλαδή σχετικά μικρή διαφορά).

Η πραγματική δυσκαμψία C2 ισούται με Kb=Vb/δ=(123.9·103 N/0.00136633m)=90.68·106 kN/m (έναντι 248.8·106 N/m της αμφίπακτης, δηλαδή σημαντική διαφορά).

Η λειτουργία της ισχυρής κολόνας, όπως φαίνεται και από την ελαστική της γραμμή, προσο-μοιάζει περισσότερο στη λειτουργία μονόπακτου (δυσκαμψία 62.2· 106 N/m), παρά αμφίπακτου υποστυλώματος (δυσκαμψία 248.8·106 N/m).

Αν λάβουμε υπόψη την επιρροή των τεμνουσών δυνάμεων (στις παραμέτρους δυσκαμψιών τίθεται Shear effect=ON),η παραμόρφωση προκύπτει ίση με δ=1.444 mm (έναντι δ=1.366, δηλαδή μικρή επιρροή).

 


« Η επιρροή του βαθμού πάκτωσης των κολονών Η επιρροή του διαφορικού ύψους των κολονών »

Απόκτηση εξοπλισμού με Χρηματοδότηση 100% μέσω του ΕΣΠΑ

Π-SYSTEMS ΑΕ



Ευχαριστούμε για την υποστήριξη τις διακεκριμένες εταιρίες:


ΧΑΤΖΗΔΑΒΙΤΙΔΗΣ ΑΕ ΧΑΤΖΗΔΑΒΙΤΙΔΗΣ ΑΕ

Π-SYSTEMS ΑΕ Π-SYSTEMS ΑΕ