Οι πρόβολοι είναι πλάκες που στηρίζονται μόνο σε μία παρυφή. Τέτοια είναι η πλάκα s4 στην εικόνα της §4.1. Η πάκτωση του προβόλου εξασφαλίζεται στην παρυφή αυτή με τη συμβολή άλλης πλάκας, όπως συμβαίνει στην ίδια εικόνα με την πλάκα s2.
Εικόνα 4.4.1 Εικόνα 4.4.1
Η στατική επίλυση των προβόλων (όπως και των αμφιέρειστων πλακών) λαμβάνει υπόψη τα φορτία που ασκούνται σε λωρίδα πλάτους 1.00 m.
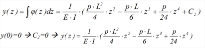
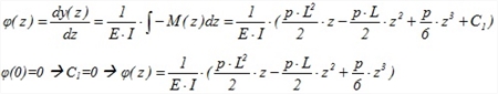
Υπολογίζουμε την ελαστική γραμμή, εξετάζοντας χωριστά το ομοιόμορφο φορτίο p και χωριστά το συγκεντρωμένο P. Θεωρούμε ως αρχή των z το αριστερό άκρο της ράβδου (τοπικό σύστημα αξόνων xyz, όπου z ο άξονας της ράβδου).. Για ομοιόμορφο φορτίο p σε όλο το μήκος L :
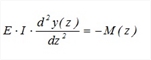
Η βασική εξίσωση της ελαστικής γραμμής :
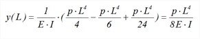
Το μέγιστο βέλος εμφανίζεται στη θέση z=L και ισούται με:
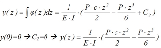
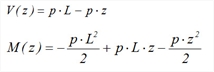
Για συγκεντρωμένο φορτίο P σε απόσταση c :
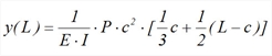
Το μέγιστο βέλος εμφανίζεται στη θέση z=L και ισούται με:
Στην ειδική περίπτωση που το συγκεντρωμένο φορτίο P ασκείται στην άκρη του προβόλου, δηλαδή c=L,το μέγιστο βέλος ισούται με
. Όταν ο πρόβολος βρίσκεται σε συνέχεια με άλλη πλάκα, στα βέλη κάμψης του προστίθεται το γραμμικό βέλος λόγω της γωνίας στροφής της κοινής παρυφής των δύο πλακών.
Δίνεται πλάκα πρόβολος με πάχος h=200 mm, μήκος L=2.00 m και σκυρόδεμα C40/50, στην οποία ασκείται φορτίο επικάλυψης gεπ=1.0 kN/m2, ωφέλιμο q=5.0 kN/m2 και συγκεντρωμένο μόνιμο G=4.0 kN/m στην άκρη της. Ζητούνται οι ροπές, οι τέμνουσες και τα βέλη σε οριακή κατάσταση αστοχίας.
Εικόνα 4.4.2 Εικόνα 4.4.2
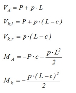
Θεωρούμε ζώνη πλάτους b=1.00 m. go=γ (b (h=25. 0kN/m3 (1.00m (0.20m=5.0 kN/m ge=1.0kN/m2x1.00m=1.0 kN/m Συνολικό μόνιμο κατανεμημένο φορτίο:: Μόνιμο συγκεντρωμένο φορτίο:
q=5.0kN/m2x1.00m=5.0 kN/m p=γgxg+γqxq=1.35x6.0+1.50x5.0=15.6 kN/m VA=P+pxL=5.4+15.6x2.00=36.6 kN Vk=VA-pxL=36.6-15.6x2.00=5.4 kN MA=-PxL-pxL2/2=-5.4x2.00-15.6x2.002/2=-42.0 kNm Για C40/50 έχουμε E=35.2x109 Pa [EC2, 3.1.2] και τόμος Γ' §1.1 a I=bxh3/12=1.00x0.203/12=6.67x10-4 m4 ExI=35.2x109N/m2x6.67x10-4m4=234.8x105 Nxm2 Λόγω ομοιόμορφου διανεμημένου φορτίου p:
Λόγω συγκεντρωμένου φορτίου P:
Ολικό: ymax=ymax,1+ymax,2=1.33+0.61=1.94 mm Το βέλος κάμψης έχει υπολογιστεί για την κατάσταση αστοχίας. Αν θέλαμε το βέλος κάμψης για την κατάσταση λειτουργικότητας, θα έπρεπε να πάρουμε το αντίστοιχο φορτίο λειτουργικότητας με τιμή π.χ. ps=1.0g+1.0q=1.0x6.0+1.0x5.0=11.0 kN/m και Ps=1.0G= 1.0x4.0=4.0 kN. Το συνολικό βέλος τότε θα ήταν ys=1.33x(11.0/15.6)+0.61x(4.0/5.4)= 1.39 mm. Βέβαια αυτό είναι το ελαστικό βέλος στο οποίο δεν έχει ληφθεί υπόψη ο ερπυσμός..
|