« Φάσμα σχεδιασμού οριζόντιων σεισμικών δράσεων Σεισμικές εντάσεις »

 

Δυναμική ανάλυση και ιδιοπερίοδοι φορέα

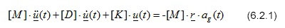
Η κίνηση του κτηριακού μοντέλου υπό την σεισμική διέγερση του εδάφους, μπορεί να αποδοθεί από την διανυσματική διαφορική εξίσωση:


όπου:

[M], [D], [K]

τα NxN συμμετρικά και θετικά ορισμένα μητρώα μάζας, απόσβεσης και ακαμψίας αντίστοιχα

τα Nx1 διανύσματα επιταχύνσεων, ταχυτήτων και μετατοπίσεων των βαθμών ελευθερίας του προσομοιώματος

r

το Nx1 διάνυσμα επιρροής λόγω της κίνησης του εδάφους, που έχει μοναδιαίες τιμές μόνον στις θέσεις των βαθμών ελευθερίας που αντιστοιχούν στην σεισμική κατεύθυνση και μηδέν στις υπόλοιπες

ag(t)

η χρονική συνάρτηση της σεισμικής επιτάχυνσης του εδάφους

N

το πλήθος των βαθμών ελευθερίας του προσομοιώματος


Η Ιδιομορφική Ανάλυση

Εφαρμόζουμε τον μετασχηματισμό στις γενικευμένες ή φυσικές συντεταγμένες


όπου:

n (t) το Nx1 διάνυσμα των γενικευμένων συναρτήσεων ni(t)

[ Φ ] το NxN κανονικοποιημένο μητρώο όλων των ιδιομορφών φi

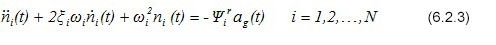
Αν θεωρήσουμε την γνωστή ορθογωνικότητα των ιδιομορφών με κατά Rayleigh αναλογικές αποσβέσεις (Bellos, J., 1988, 1989a, 1989b), τότε το πρόβλημα της επίλυσης του συστήματος των πεπλεγμένων διαφορικών Εξισώσεων 1 ανάγεται στην επίλυση N ανεξάρτητων διαφορικών εξισώσεων


Αν μάλιστα θέσουμε:


η Εξίσωση (6.2.2) μετασχηματίζεται στην


και οι ανεξάρτητες διαφορικές Εξισώσεις (6.2.3) μετασχηματίζονται στις


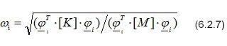
όπου η ιδιοσυχνότητα για κάθε ιδιομορφή είναι


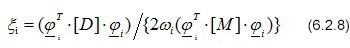
το ποσοστό της κρίσιμης απόσβεσης είναι


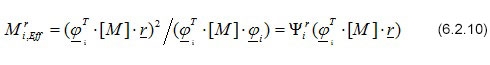
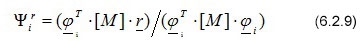
και ο συντελεστής συμμετοχής της ιδιομορφής στην ταλάντωση λόγω της συγκεκριμένης σεισμικής δράσης μπορεί να γραφεί


Ένα άλλο σημαντικό μέγεθος είναι η ενεργή ή ταλαντούμενη ιδιομορφική μάζα για την συγκεκριμένη σεισμική δράση


Η συμμετοχή της ταλαντούμενης μάζας ανά ιδιομορφή και σεισμική δράση, σαν ποσοστό της συνολικής μάζας του φορέα, εκφράζεται από την σχέση


Για να είναι επαρκής μια ιδιομορφική ανάλυση, θα πρέπει να βρεθούν τόσες ιδιομορφές ώστε το άθροισμα των ποσοστών συμμετοχής των ταλαντούμενων μαζών να είναι σημαντικό για όλες τις πρωτεύουσες σεισμικές δράσεις (συνήθως μεγαλύτερο του 90%), δηλαδή


Το συγκεκριμένο λογισμικό διαθέτει δύο μεθόδους ανάλυσης ιδιομορφών: την ταχύτατη μέθοδο Lanczos και την παραδοσιακή μέθοδο Subspace Iteration method.


Οι Ιδιομορφικές Επαλληλίες

Επειδή στο δυναμικό σχεδιασμό του κτηρίου αρκούν οι μέγιστες τιμές των εντατικών και παραμορφωσιακών μεγεθών και όχι οι ακριβείς χρονικές τους αποκρίσεις, οι επαλληλίες βασίζονται στις τεταγμένες του φάσματος σεισμικών επιταχύνσεων Rd(T) που παρέχει ο εκάστοτε Αντισεισμικός Κανονισμός σε διακριτές τιμές των ιδιοπεριόδων Ti, όπου


Δεδομένου ότι οι φασματικές τεταγμένες των μετατοπίσεων προκύπτουν από τις αντίστοιχες φασματικές τεταγμένες των επιταχύνσεων με αναλογία 1/ω i2, από τους όρους της Εξίσωσης (6.2.5) προκύπτει ότι, οι μέγιστες ιδιομορφικές μετατοπίσεις ανά σεισμική δράση δίνονται από την σχέση


Βέβαια, οι μέγιστες ιδιομορφικές τιμές δεν είναι συνήθως ταυτόχρονες ώστε προστιθέμενες να μας δίνουν τις μέγιστες συνολικές τιμές των ζητούμενων εντατικών και παραμορφωσιακών μεγεθών. Προς τούτο, χρησιμοποιούνται κατάλληλες μέθοδοι επαλληλίας. Δύο τέτοιες μέθοδοι είναι και πιο διαδεδομένες, στις οποίες οι επιμέρους μέγιστες τιμές Vi,max των ιδιομορφικών συνιστωσών των μεγεθών επαλληλίζονται ώστε να δίνουν τις μέγιστες τιμές Vmax:

Η SRSS ή Απλή Τετραγωνική Επαλληλία (Square Root of Sum of Squares)


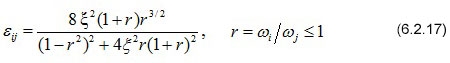
και η CQC ή Πλήρης Τετραγωνική Επαλληλία (Complete Quadratic Combination)


όπου, με την σταθερά απόσβεσης x όπως την ορίζει ο Αντισεισμικός Κανονισμός, ο συντελεστής συσχέτισης των ιδιομορφών i και j δίνεται από την σχέση


Στο συνοδευτικό λογισμικό προτιμάται η χρήση της μεθόδου CQC γιατί είναι πιο γενική και πιο πλήρης.

 


« Φάσμα σχεδιασμού οριζόντιων σεισμικών δράσεων Σεισμικές εντάσεις »

Απόκτηση εξοπλισμού με Χρηματοδότηση 100% μέσω του ΕΣΠΑ

Π-SYSTEMS ΑΕ



Ευχαριστούμε για την υποστήριξη τις διακεκριμένες εταιρίες:


ΧΑΤΖΗΔΑΒΙΤΙΔΗΣ ΑΕ ΧΑΤΖΗΔΑΒΙΤΙΔΗΣ ΑΕ

Π-SYSTEMS ΑΕ Π-SYSTEMS ΑΕ