|
« Άσκηση 4.9.6
Σεισμική συμπεριφορά »
|
Δίνονται : πάχος πλακών s1, s2, s3, s4, s5 :h=160 mm, s6: h=210 mm και φορτίο επικάλυψης gεπ=2.0 kN/m2. Ζητούμενο : Η στατική επίλυση και η κατανομή των φορτίων των πλακών επί των δοκών.
Εικόνα 4.9.7-1 Εικόνα 4.9.7-1
g1,2,3,4,5=0.16 x1.0x25.0=4.0 kN/m2, g6=0.21x1.0x25.0=5.25 kN/m2, gεπ=2.0 kN/m2 Η επίλυση θα διεξαχθεί με καθολικό φορτίο (επειδή η τιμή του κινητού είναι μικρή): p1,2,3,4,5=6.0 x1.35+2.0x1.5=11.1 kN/m2, p6=7.25x1.35+2.0x1.5=12.80 kN/m2 επομένως, σε ζώνη πλάτους 1.0 m αντιστοιχεί φορτίο p1, 2,3,4,5=11.1 kN/m and p6=12.80 kN/m. Πλάκα s1
Εικόνα 4.9.7-2 Εικόνα 4.9.7-2
Εικόνα 4.9.7-3 Εικόνα 4.9.7-3
Χρησιμοποιείται ο πίνακας 50-2 με αντιστροφή των δεικτών x, y:
Εικόνα 4.9.7-4 Εικόνα 4.9.7-4
Χρησιμοποιείται ο πίνακας 49 με αντιστροφή των δεικτών x, y:
Εικόνα 4.9.7-5 Εικόνα 4.9.7-5
Η πλάκα s4 είναι πρόβολος:
Εικόνα 4.9.7-6 Εικόνα 4.9.7-6
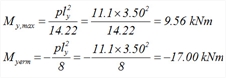
Η πλάκα είναι τριέρειστη και χρησιμοποιείται ο πίνακας 55 με αντιστροφή των δεικτών x, y:
Εικόνα 4.9.7-7 Εικόνα 4.9.7-7
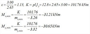
Η πλάκα είναι διέρειστη και χρησιμοποιείται ο πίνακας 59:
Εικόνα 4.9.7-8 Εικόνα 4.9.7-8
- Γενικά, οι δυσμενέστερες ροπές των πλακών είναι αιχμής, δηλαδή ασκούνται σε αμφιέ-ρειστες πλάκες (s1) ή προβόλους (s4) σε ένα σημείο κατά τη μια διεύθυνση και σε μια ευθεία κατά την άλλη. Στις τετραέρειστες πλάκες ασκούνται σε ένα μόνο σημείο και προς τις δύο διευθύνσεις.
- Οι τιμές των ροπών αιχμής μειώνονται γρήγορα όσο απομακρυνόμαστε από το σημείο αιχμής, ενώ στις πακτώσεις τριερείστων και διερείστων ταχύτατα.
- Η ροπή στη στήριξη s5-s6, ή στη στήριξη s6 επί της δοκού, στο μέσον της λωρίδας του 1.00 m, όπου θα γίνει η διαστασιολόγηση, μπορεί να είναι πολύ μικρότερη. Για το λόγο αυτόν ο οπλισμός που θα υπολογισθεί σ’ αυτές τις στηρίξεις θα μειωθεί σημαντικά όσο απομακρυνόμαστε από τις στηρίξεις .
Εικόνα 4.9.7-9 Εικόνα 4.9.7-9
Εικόνα 4.9.7-10 Εικόνα 4.9.7-10
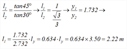
• Όσον αφορά την πλάκα s1, με την παραδοχή της κατανομής των φορτίων υπό γωνία 45ο or 60ο προκύπτει:
Η θεώρηση μονόπακτης ράβδου δίνει πηλίκο ίσο με:
δηλαδή ίδιο περίπου με αυτό της θεώρησης γωνιών. Τα φορτία των πλακών κατανέμονται στις δοκούς γίνεται σύμφωνα με την επιφάνεια επιρροής τους. Η φόρτιση ( kN/m) σε κάθε σημείο της δοκού ισούται με το φορτίο( kN/m2) επί την τετμημένη (m). Παράδειγμα : Φορτία δοκών b4, b5
Εικόνα 4.9.7-11 Εικόνα 4.9.7-11
Η τριγωνική επιφάνεια επιρροής του φορτίου της πλάκας s5 έχει εμβαδόν 1.53x2.65/2=2.03 m 2 η οποία δίνει φορτίο 2.03m 2 x11.1kN/m 2 =22.53 kN και τελικά ομοιομορφισμένο φορτίο 22.53kN/2.65m= 8.5 kN/m . επειδή η επιφάνεια επιρροής είναι ορθογωνική, το ομοιομορφισμένο φορτίο προκύπτει άμεσα ως 2.22mx11.1kN/m2=24.6 kN/m. η τραπεζοειδής επιφάνεια επιρροής έχει εμβαδόν (6.20+2.49)x2.35/2=10.21 m2 η οποία δίνει φορτίο 10.21m2x11.1kN/m 2=113.33kN και τελικά ομοιομορφισμένο 113.33kN/6.20m=18.3 kN/m. Συνολικά: ομοιομορφισμένο δοκού b5 = 24.6 + 18.3=42.9 kN/m Οι ισοδύναμες ομοιόμορφες φορτίσεις προκύπτουν άμεσα από πίνακες. Για παράδειγμα, από τον πίνακα 50-2 για την κατανομή της πλάκας s2 επί της δοκού b5, προκύπτει: pyerm=υχerm x p x ly =0.35x11.1x4.70=18.3 kΝ/m, ενώ από τον πίνακα 55 για την κατανομή της πλάκας s5 επί της δοκού b4, προκύπτει: pyr=υxr x p x lx =0.29x11.1x2.65=8.5 kΝ/m.
Εικόνα 4.9.7-12: Η κατανομή των ροπών κάμψης, όπως αποδίδεται στο συνοδευτικό λογισμικό Εικόνα 4.9.7-12: Η κατανομή των ροπών κάμψης, όπως αποδίδεται στο συνοδευτικό λογισμικό
|
« Άσκηση 4.9.6
Σεισμική συμπεριφορά »
|
|